Journal Officiel Algérien | SGG Algérie Consultez et recherchez facilement et rapidement les lois et décrets dans le Journal Officiel Algérien.
Numéro 39 SGG Algérie

Importants changements administratifs, expansion agricole saharienne et nouvelles organisations ministérielles

1. Modification relative à l'établissement hospitalier de la sûreté nationale « Les glycines »

Complétant le décret exécutif n° 12-201 du 6 mai 2012, portant création, organisation et fonctionnement de l'établissement hospitalier de la sûreté nationale « Les glycines ».

Ajout de l'article 4 bis précisant que l'établissement est constitué de l'ensemble des structures sanitaires de prévention, de diagnostic, de soins, d'hospitalisation, de réadaptation médicale, de l'assistance médicale d'urgence et de la protection maternelle et infantile. La liste des structures sanitaires est fixée par arrêté conjoint des ministres de l'Intérieur et de la Santé.

2. Décisions individuelles : Fins de fonctions et nominations à de hauts postes

Série de décrets présidentiels et exécutifs concernant des fins de fonctions et des nominations de responsables dans divers ministères et organismes publics.

Fins de fonctions : Magistrat et inspecteur (Justice) ; Secrétaire général Cour de Souk Ahras ; Chef de cabinet (Finances) ; Secrétaire général (Enseignement Supérieur et Recherche Scientifique) ; Recteur Université de Mascara ; Secrétaire général (Formation et Enseignement Professionnels) ; Secrétaire général (Poste et Télécommunications) ; Directeur général Caisse Nationale des Retraites ; Sous-directrice (Haute Autorité de Transparence, Prévention et Lutte contre la Corruption) ; Chargés d'études et de synthèse (Haut Conseil Islamique) ; Membre (Conseil National Recherche Scientifique et Technologies) ; Directeur communication et systèmes d'information (Autorité Nationale Protection Données à Caractère Personnel) ; Chef de cabinet (Enseignement Supérieur et Recherche Scientifique) ; Directeurs généraux (Offices Promotion et Gestion Immobilière - plusieurs wilayas). Nominations : Secrétaire général (Enseignement Supérieur et Recherche Scientifique) ; Chargée d'études et de synthèse (Conseil National Économique, Social et Environnemental) ; Sous-directeur (Conseil National Recherche Scientifique et Technologies) ; Directeurs généraux (Offices Promotion et Gestion Immobilière).

3. Ministère de la Défense Nationale : Fin de suppléance à la Cour d'appel militaire

Arrêté mettant fin à la suppléance de la présidence de la Cour d'appel militaire de Béchar.

Fin de la suppléance de la présidence de la Cour d'appel militaire de Béchar / 3ème région militaire, assurée par M. Kamel Mesbah, président de la Cour d'appel militaire de Blida / 1ère région militaire, à compter du 25 mai 2025.

4. Ministère des Finances : Habilitation d'établissements de formation pour l'administration fiscale

Liste des établissements publics de formation habilités pour l'organisation des concours et examens pour l'accès aux grades de l'administration fiscale.

Fixation de la liste des établissements publics de formation habilités pour l'organisation des concours sur épreuves et des examens professionnels pour l'accès aux grades des corps spécifiques à l'administration fiscale. Comprend l'École Nationale des Impôts, divers instituts et écoles supérieures, et facultés spécialisées pour différents grades (inspecteur, inspecteur principal, inspecteur central, inspecteur divisionnaire, inspecteur en chef des impôts, contrôleur, agent de constatation, analyste fiscal, analyste fiscal principal, analyste fiscal central, programmeur fiscal). Possibilité de créer des centres d'examen annexes par décision des directeurs d'établissements.

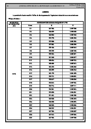
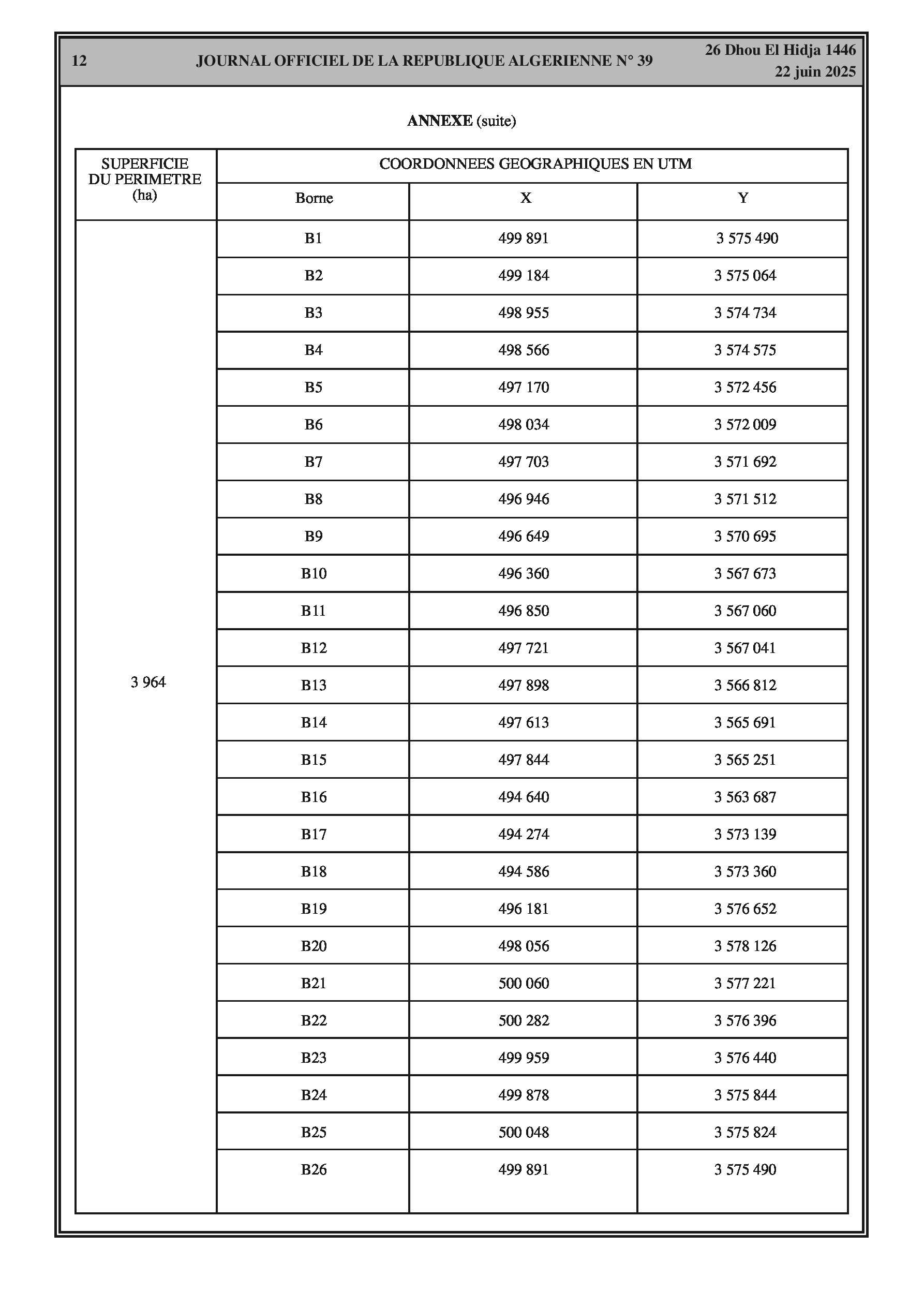
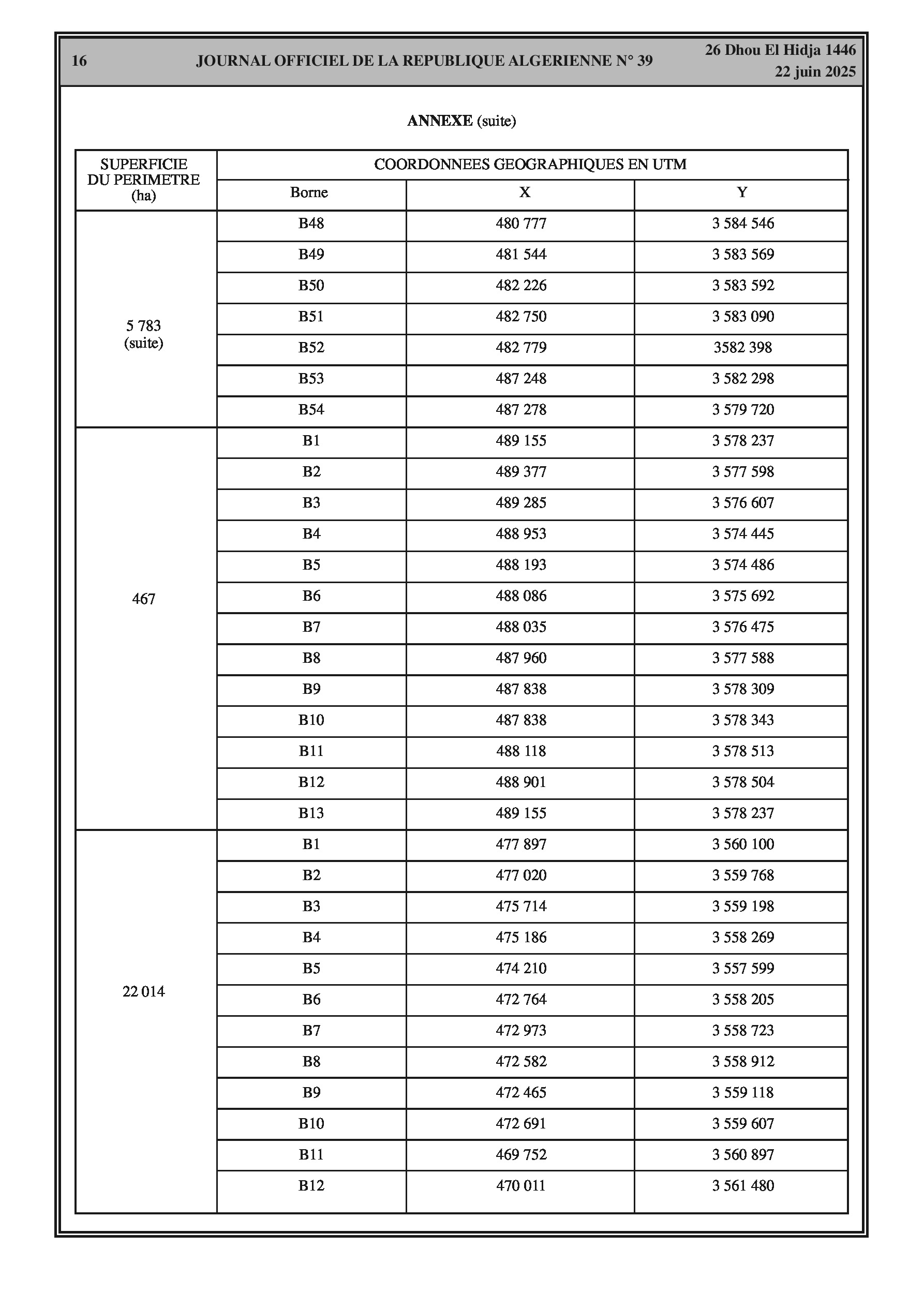
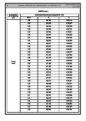
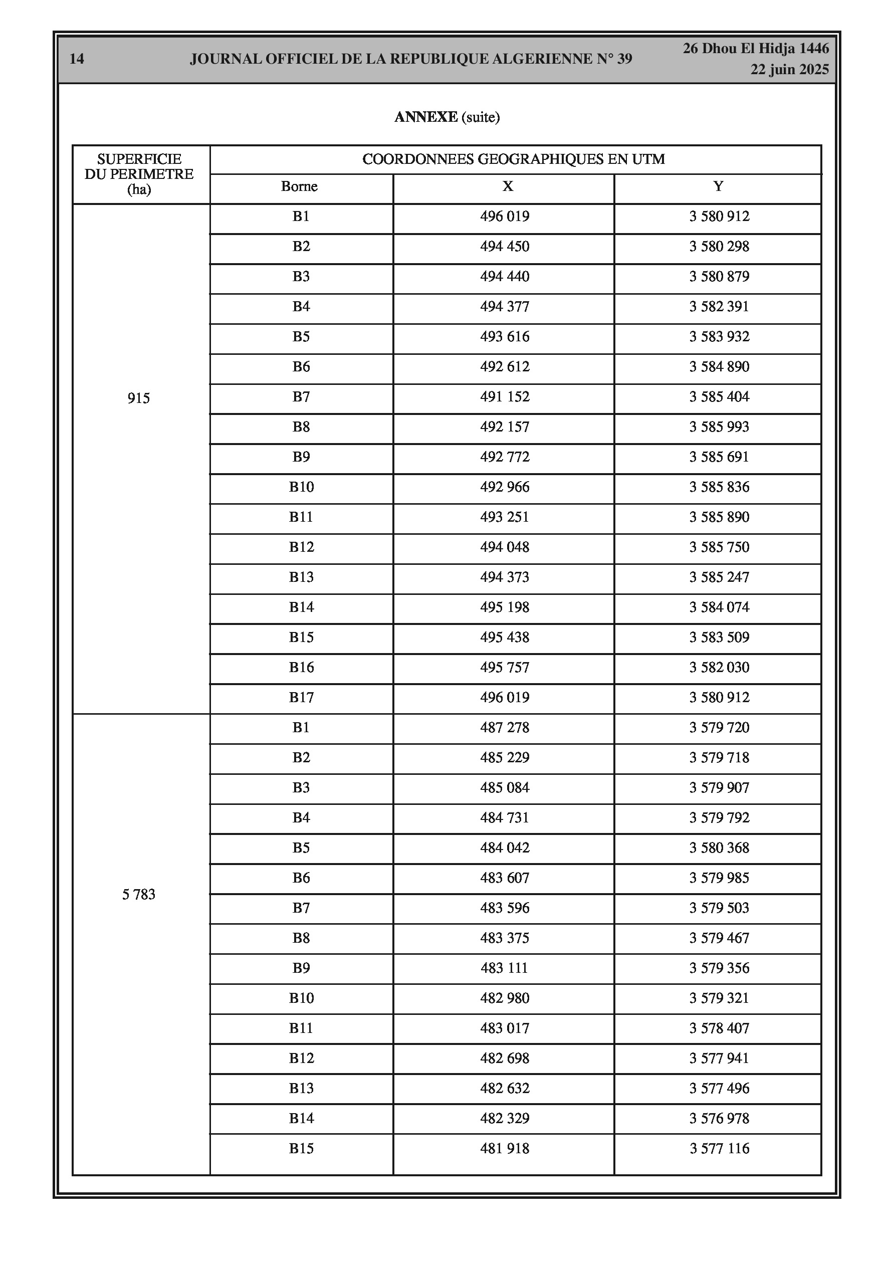
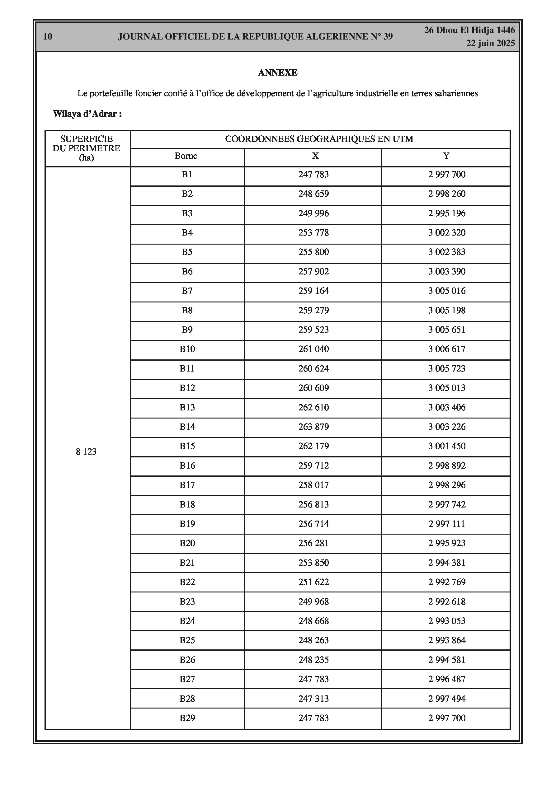
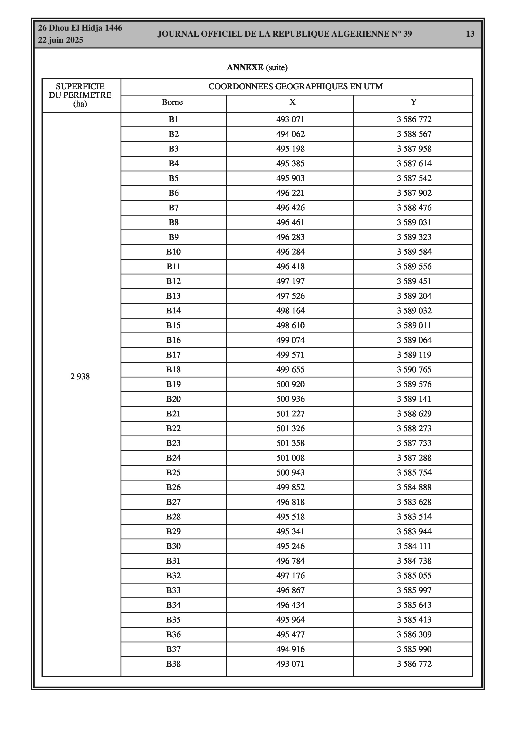
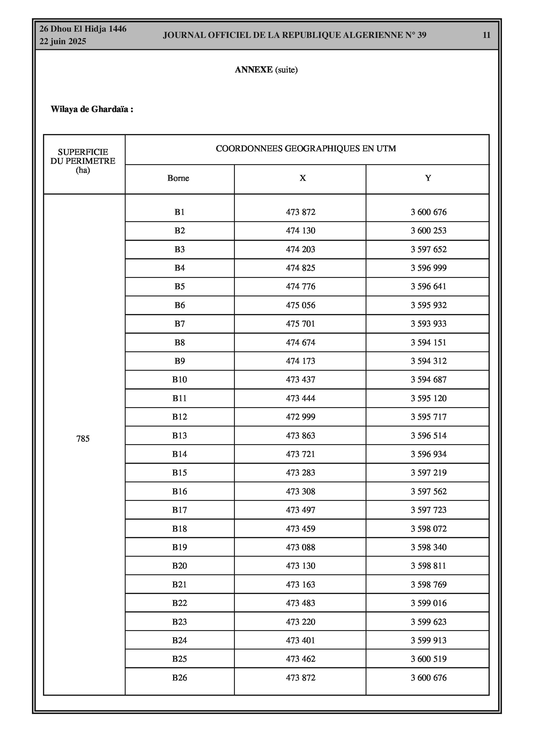
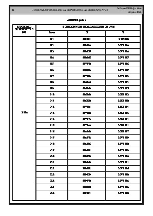
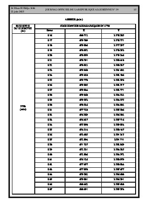
5. Ministère de l'Agriculture : Expansion des terres agricoles sahariennes et mesures organisationnelles

Extension du portefeuille foncier pour l'agriculture industrielle saharienne, modification du comité de lutte contre les zoonoses, et délégation de signature.

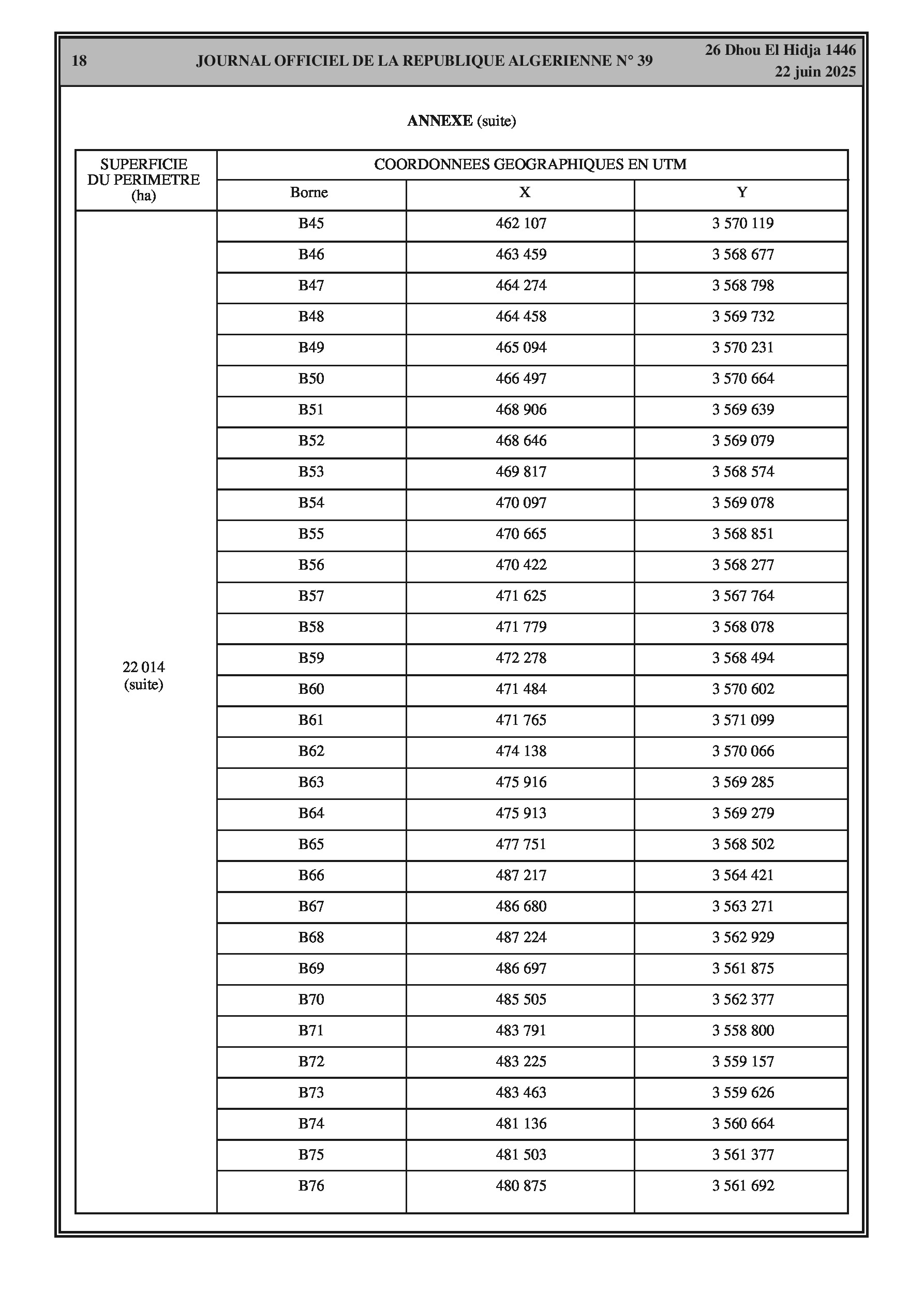
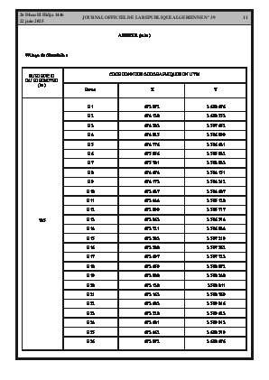
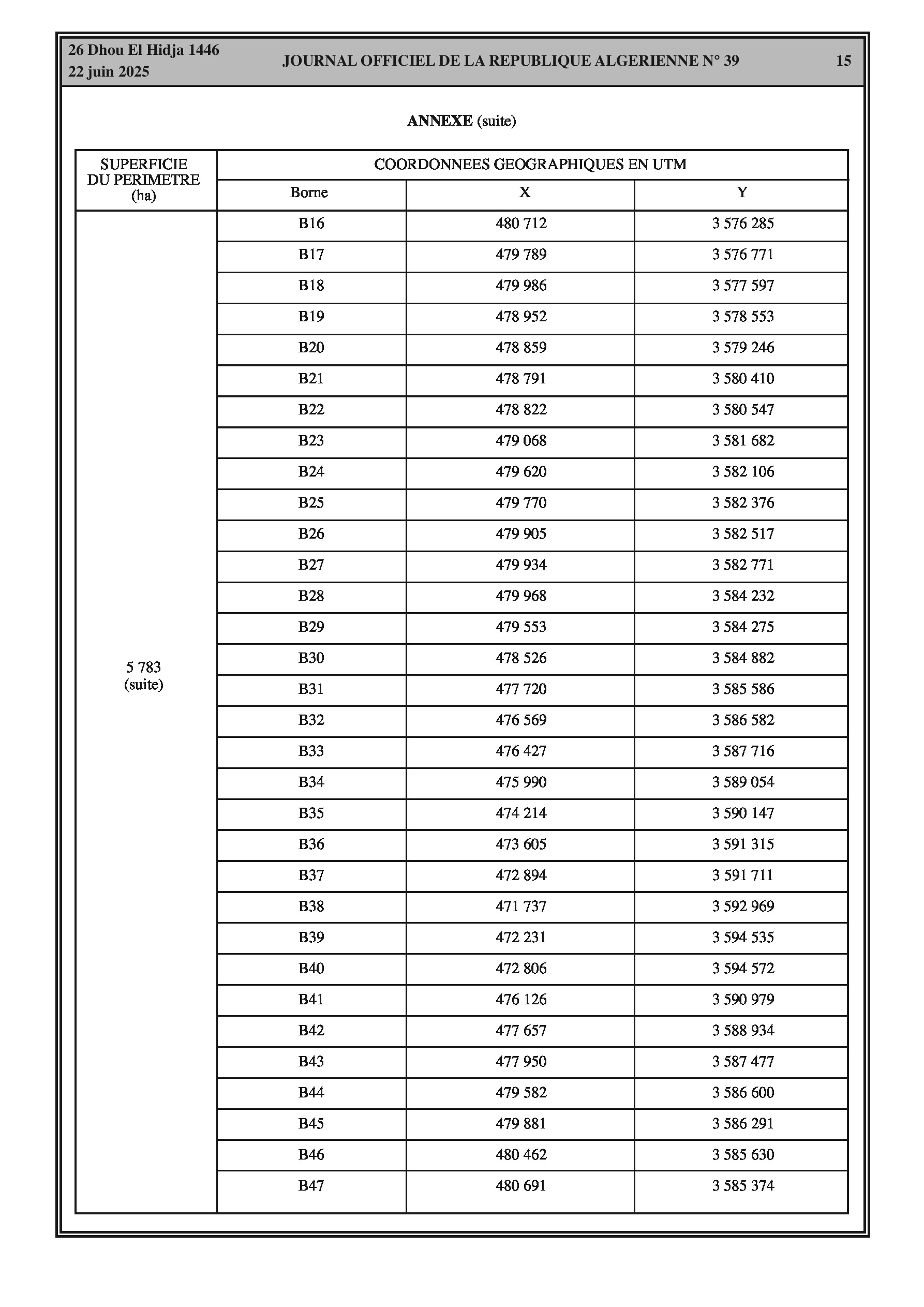
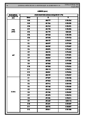
Arrêté interministériel complétant le portefeuille foncier de l'Office de développement de l'agriculture industrielle en terres sahariennes. Ajout d'un nouveau périmètre dans la wilaya d'Adrar (8.123 ha) et de sept (7) nouveaux périmètres dans la wilaya de Ghardaïa (total 36.866 ha). Coordonnées géographiques en annexe. Arrêté modifiant la désignation des membres du comité national de prévention et de lutte contre les zoonoses. Arrêté portant délégation de signature au sous-directeur du budget et de la comptabilité du ministère.

6. Ministère des Travaux Publics : Nouvelle organisation de l'administration centrale

Arrêté interministériel fixant l'organisation de l'administration centrale du ministère en bureaux, détaillés par directions générales.

Fixation de l'organisation de l'administration centrale du ministère des travaux publics et des infrastructures de base en bureaux. L'organisation comprend les directions générales des infrastructures routières, autoroutières, maritimes et aéroportuaires, ferroviaires et des transports guidés, ainsi que la direction générale de la planification, des ressources et du numérique. Chaque direction générale est composée de sous-directions et de bureaux spécifiques.

7. Ministère du Travail : Agrément d'agents de contrôle de la sécurité sociale

Arrêté portant agrément d'agents de contrôle de la sécurité sociale dans plusieurs wilayas.

Agrément d'une liste d'agents de contrôle de la sécurité sociale pour la Caisse nationale de sécurité sociale des non-salariés (CASNOS) et la Caisse nationale d'assurance chômage (CNAC) dans plusieurs wilayas. Ils ne peuvent accomplir leur mission qu'après avoir prêté serment.
Recevez les dernières actualités du Journal Officiel Algérien dès sa parution